实体测量平衡流量计-平衡流量计厂家符合工况要求
一、概述
平衡流量计(又称多孔孔板)是按国标GB2624在标准孔板和流动调整器的基础上研发的一种新型节流式流量传感器。平衡流量计用于安装在各种扰动的下游,以最短的直管段敷设提供卓越的性能。

二、测量原理
平衡流量计是也一种差压式流量仪表,其工作原理与其他差压式流量计一样,都是基于密封管道中的能量转换原理:在理想流体的情况下管道中的流量与差压的平方根成正比;用测出差压值根据伯努利方程即可计算出管道中的流量。平衡流量计流量传感器是一个多孔的圆盘节流整流器,安装在管道的截面上,当流体穿过圆盘的整流孔时,流体将被平衡整流,涡流被最小化,形成近似理想流体,通过取压装置,可获得稳定的差压信号,根据伯努利方程计算出体积流量、质量流量。
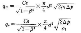
流量计算公式:

式中:qm,qv分别为质量流量(㎏/s)和体积流量(m
3/s);
C流出系数;
可膨胀性系数;
d节流件开孔直径,m;
直径比,=d/D;
D管道内径,m;
1被测流体密度,㎏/m
3;
p差压,Pa;
三、特点
1、测量精度高由于平衡流量计流量传感器具有多孔对称结构特点,能对流场进行平衡整流,降低了涡流、振动和信号噪声,流场稳定性大大提高,使线性度比传统节流装置提升了5~10倍。
2、直管段要求短平衡流量计流量传感器能将流场整流稳定、且压力恢复比传统节流装置快2倍,大大缩短了对直管段的要求。一般情况下直管段要求为前2D、后2D,从而省去大量直管段,尤其是特殊昂贵的材料的管道。
3、量程比宽平衡流量计流量计正常情况下量程比为15:1,选择合适的参数可以做到30:1.平衡流量计流量计的值范围为0.25~0.90。
4、永久压力损失低平衡流量计流量计多孔对称的平衡设计,减少了涡流的形成和紊流的摩擦,降低了动能的损失;在产生同样差压值情况下,永久压力损失约为传统节流装置的1/3,节省了相当大的运行成本,是一种节能型仪表。
5、耐脏污不易堵平衡流量计流量计多孔对称的设计,减少了涡流的形成和紊流的摩擦,降低流场死区,保证脏污介质顺利通过函数孔,因此平衡流量计流量计可用于测量各种脏污介质,如焦炉煤气、高炉煤气、渣油、回炼油、水煤浆等等。
6、适用范围广平衡流量计流量计测量范围极广,可测量各种气体、液体、蒸汽;流体条件可以从深低温到超临界状态,过程温度最高达850℃,最大工作压力可达42MPa。
7、一体化结构易于使用、检验和排除故障。
四、主要技术参数
1.管道尺寸:15DN1200mm
2.公称压力:PN42Mpa
3.工作温度:-50℃t550℃
4.量程比:1:10,1:15
5.精度等级:0.5级,1级,1.5级
6.参照标准:GB/T2624-2006、JJG640-94及流量测量节流装置设计手册
7.连接方式:法兰连接、焊接、螺纹连接
五、结构形式
平衡流量计按其开孔个数分为:四孔式、多孔式。按其安装方式又分为:通用型、夹持型一体化式等结构。具体形式见下表:
六、型号标记方法:LG-BKD-DN平衡流量计
LG基本型号;-BKD平衡流量计
DN公称通径(㎜)例如DN200,为公称通径200㎜。
最新资讯文章
- 流速式流量计的安装注意也需要一定讲究
- 气体涡街流量计在测量蒸汽炉煤气时出现问题及解决方法
- 孔板流量计测量瓦斯抽放流量时的安装要求及取压方式
- 测蒸汽时应选孔板流量计还是涡街流量计?
- 差压孔板流量计出现故障时 不妨试试以下方法
- 天然气流量计管道调试故障原因分析
- 插入式流量计的原理与分类
- 如何消除污水流量计工频干扰和零点漂移
- 孔板流量计:自动化设计废钢铁行业转行井喷
- 前后直管段太短时孔板流量计应该如何安装
- 德尔塔巴流量计的安装要求以及注意
- 高压孔板流量计在冷冻水检测中的注意要点及解决方案介绍
- 选型蒸汽流量计时所需要注意的问题介绍
- 导致孔板流量计误差变大的原因分析
- 孔板流量计测量蒸汽产生误差的原因分析及解决办法
- 深入探究影响孔板流量计进行煤气流量计量的因素
- 质量流量计和控制器引擎盖下的主要组件详细介绍
- 浅析阶跃温度及水流速度对金属管浮子流量计的影响
- 选择流量计时会犯的10个常见错误以及如何避免错误
- 运用标准计量器具校正金属管浮子流量计
- 如何正确安装蒸汽流量计
- 天燃气流量计的功能介绍
- 蒸汽流量计运行工作前的准备和调试
- 限流孔板流量计作为流量测量元件的使用条件有哪些
- 环形孔板流量计在各介质中的应用













