楔形流量计测量原理
西安华恒仪表制造有限公司是掌握流量计、压力变送器、密度计、液位计核心技术的仪表生产厂家。主要生产流量计/压力变送器/密度计/液位计OEM(代工),拥有自主的研发团队和生产线。可以自主研发设计满足各行业、各环境下的高精度流量计。今天和大家分享一下。

当充满管道的流体流经楔形孔板时在楔形孔板上游侧和下游侧测到流体的差压差压变送器、温度变送器、压力变送器将差压、温度、压力信号转为为4~20mA.dc 电流信号输出这些信号经智能流量运算器、温度运算器、压力运算器处理后其示值即为流量值、温度值、压力值。同时压力值与设定值进行对比确定是否报警。
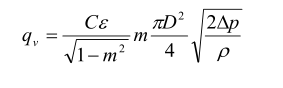
楔 形智 能 流量 计计 算公 式

式中 q v 体积流量m 3 /s
c流出系数
可膨胀性系数
m节流面积比 m= s 1 / 弓形面积
s 1 弓形流通面积m 2
D管道内径m
△p差压Pa
被测介质密度kg/m 3 。
s 1 的计算

相信通过以上楔形流量计测量原理的全部容,能够使大家有一个较为全面的认识,对选择合适的液体流量计有所帮助。如有疑问,可以随时联系我们。
上一篇:楔形流量计的用途 下一篇:楔形流量计直管段要求
跟楔形流量计,齐齐哈尔,松原,四平相关的产品
最新资讯文章
- 流速式流量计的安装注意也需要一定讲究
- 气体涡街流量计在测量蒸汽炉煤气时出现问题及解决方法
- 孔板流量计测量瓦斯抽放流量时的安装要求及取压方式
- 测蒸汽时应选孔板流量计还是涡街流量计?
- 差压孔板流量计出现故障时 不妨试试以下方法
- 天然气流量计管道调试故障原因分析
- 插入式流量计的原理与分类
- 如何消除污水流量计工频干扰和零点漂移
- 孔板流量计:自动化设计废钢铁行业转行井喷
- 前后直管段太短时孔板流量计应该如何安装
- 德尔塔巴流量计的安装要求以及注意
- 高压孔板流量计在冷冻水检测中的注意要点及解决方案介绍
- 选型蒸汽流量计时所需要注意的问题介绍
- 导致孔板流量计误差变大的原因分析
- 孔板流量计测量蒸汽产生误差的原因分析及解决办法
- 深入探究影响孔板流量计进行煤气流量计量的因素
- 质量流量计和控制器引擎盖下的主要组件详细介绍
- 浅析阶跃温度及水流速度对金属管浮子流量计的影响
- 选择流量计时会犯的10个常见错误以及如何避免错误
- 运用标准计量器具校正金属管浮子流量计
- 如何正确安装蒸汽流量计
- 天燃气流量计的功能介绍
- 蒸汽流量计运行工作前的准备和调试
- 限流孔板流量计作为流量测量元件的使用条件有哪些
- 环形孔板流量计在各介质中的应用













