平衡流量计基本原理
平衡流量计的基本原理是伯努利方程,关键技术是开孔的分布和精确的加工技术。采用A+FLOWTEK公司制造图用数控机床进行精确开孔保证流体流动状态达到动量、动能和热焓等性能的平衡,这些性能是标准孔板或仿造产品所无法达到的。尽管一些仿制产品的外形相似,但由于开孔不精确,不符合制造加工精度要求将会造成测量精度的下降、压损的提高和流出系数的降低。

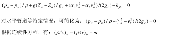
根据伯努利方程,流体在两点a和b的能量保持不变,即:
因此,管道中流动截面的变化将引起压头Δp的改变,压头的改变可通过差压检测元件直接检测,
因此,根据截面积的改变和检测到的差压改变,就可确定流过的流体流量。即:
因此,孔板的通用流量方程:
对气体,考虑其可压缩性,有超压缩因子Y:
其中,径比β可根据面积比确定。
同样,对平衡流量计,有流量方程:
超压缩因子Y:
其中,
径比β与上述计算相同。
根据能量守恒,总动能不变。有:
因此,对任何流体,伯努利方程可表示为:
对于平衡流量计,有动量和动能的修正因子可计算。但对标准孔板,则由于流体的涡流大,使动量和动能修正因子的计算无法进行,因此,不能实现动能和动量的平衡,使精度降低。图1是标准孔板和平衡流量计的流路分布。

上一篇:孔板流量计的详细说明 下一篇:均速管流量计防堵设计
跟平衡流量计,山南,平凉,中卫相关的产品
最新资讯文章
- 流速式流量计的安装注意也需要一定讲究
- 气体涡街流量计在测量蒸汽炉煤气时出现问题及解决方法
- 孔板流量计测量瓦斯抽放流量时的安装要求及取压方式
- 测蒸汽时应选孔板流量计还是涡街流量计?
- 差压孔板流量计出现故障时 不妨试试以下方法
- 天然气流量计管道调试故障原因分析
- 插入式流量计的原理与分类
- 如何消除污水流量计工频干扰和零点漂移
- 孔板流量计:自动化设计废钢铁行业转行井喷
- 前后直管段太短时孔板流量计应该如何安装
- 德尔塔巴流量计的安装要求以及注意
- 高压孔板流量计在冷冻水检测中的注意要点及解决方案介绍
- 选型蒸汽流量计时所需要注意的问题介绍
- 导致孔板流量计误差变大的原因分析
- 孔板流量计测量蒸汽产生误差的原因分析及解决办法
- 深入探究影响孔板流量计进行煤气流量计量的因素
- 质量流量计和控制器引擎盖下的主要组件详细介绍
- 浅析阶跃温度及水流速度对金属管浮子流量计的影响
- 选择流量计时会犯的10个常见错误以及如何避免错误
- 运用标准计量器具校正金属管浮子流量计
- 如何正确安装蒸汽流量计
- 天燃气流量计的功能介绍
- 蒸汽流量计运行工作前的准备和调试
- 限流孔板流量计作为流量测量元件的使用条件有哪些
- 环形孔板流量计在各介质中的应用













